合作客户/
拜耳公司 |
同济大学 |
联合大学 |
美国保洁 |
美国强生 |
瑞士罗氏 |
相关新闻Info
推荐新闻Info
-
> 耐擦刮无胶消光膜制备方法、高表面张力与收解卷顺畅性的平衡(二)
> 耐擦刮无胶消光膜制备方法、高表面张力与收解卷顺畅性的平衡(一)
> 利用超微量天平制备微孔淀粉处理含Cu(II)离子染料废水
> 不同类型的碱、pH值对孤东油田原油界面张力的影响(下)
> 不同类型的碱、pH值对孤东油田原油界面张力的影响(上)
> 不同结晶结构的脂肪晶体颗粒界面自组装行为、储藏稳定性研究
> 新型POSS基杂化泡沫稳定剂表面张力测定及对泡沫压缩性能的影响(三)
> 新型POSS基杂化泡沫稳定剂表面张力测定及对泡沫压缩性能的影响(二)
> 新型POSS基杂化泡沫稳定剂表面张力测定及对泡沫压缩性能的影响(一)
> 多功能膜材研发:界面张力已成为整套工艺链协同下动态演化的核心控制点
探索泡沫粗化与表面流变学之间的关联性疏水性蛋白——摘要、介绍
来源:上海谓载 浏览 1617 次 发布时间:2021-11-25
摘要
为什么狂犬病如此不同?为了理解这一点,我们在这里比较了疏水蛋白HFBII、奎拉叶皂苷、b-乳球蛋白或b-酪蛋白制成的泡沫的稳定性。我们的实验设计消除了聚结和奶油化的影响,使我们能够主要研究奥斯特瓦尔德成熟。我们观察到,在HFBII泡沫中,歧化被有效地阻止,并且气泡大小在实验期间几乎保持不变。我们用小变形和大变形表面膨胀和剪切流变实验研究的吸附层表面流变特性的巨大差异来解释这一点。在低表面覆盖率下,我们将系统行为映射到具有类似膨胀模量与表面压力依赖性的等效2D聚合物网络,从而允许我们引入等效分子“硬度”。这种比较表明,即使在低表面覆盖率下,与其他系统相比,HFBII分子在界面上表现为更硬的实体。我们在高表面覆盖率下发现了类似的行为,HFBII层可以在界面处形成微观褶皱。在较大的表面变形下,HFBII膨胀模量在更大的表面压力范围内几乎单调增加,并且与其他三种系统相比,达到了更高的模量。这些观察结果与观察到的泡沫行为差异密切相关。
介绍
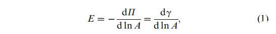
对于许多工业应用,充气液体产品的长期稳定性仍然是一个重大挑战。1影响泡沫稳定性的主要因素是泡间聚结、液体排放和歧化或奥斯特瓦尔德成熟。前两种可以使用常规乳化剂和增稠剂进行控制,它们提供适当的表面覆盖率、薄膜稳定性和足够的整体流变性。然而,阻止Ostwald在液体泡沫中熟化更为困难,因为大多数用于发泡的食品级气体具有足够的水溶性,并且会在数小时内从小气泡扩散到大气泡。这会导致泡沫粗化,从而进一步增强乳脂化、聚结,最终导致气体完全损失。减缓歧化有三种主要策略:(i)固化连续相,(ii)使用较少的可溶性气体或(iii)使用能够产生高弹性界面的乳化剂,其可以抵抗气泡歧化应力和/或降低界面气体渗透率。胶凝或固化连续相是一种解决方案,用于克服许多食品(如面包、2,3冰淇淋、4摩丝等)中的泡沫粗化,但在许多其他情况下,这不是一种选择,因为它会导致不必要的结构变化。使用高不溶性气体或可溶性和不溶性气体的混合物是(部分)抑制歧化的另一种潜在策略。然而,可用于食品工业的气体(二氧化碳、一氧化二氮、氮气等)具有足够的溶解性,使得这种方法在考虑周和月的保质期时不可行。最后一种选择是设计气泡表面,使其足够坚固以承受表面应力,由小气泡和大气泡之间的气体化学势差异引起。1根据歧化与气泡表面积A的变化内在相关的事实,可以估算所需的界面强度,而气泡表面积A的变化又与表面张力g或表面压力Ⅱ相关(Ⅱ=γ0-γ,其中γ0是裸露界面的表面张力)。这些参数用于推导吉布斯准则,5该准则预测,如果膨胀模量定义为
大于表面张力的一半,即e>γ/2。 然而,有许多实验研究,系统遵循该标准,其中泡沫不稳定,不利于歧化。 6–12主要原因是吉布斯标准对系统的有效性有限,其中:(i)界面对表面变形表现出纯弹性响应; 5–9许多这些限制在一系列新模型中得到了解决。 8–13然而,这些改进的标准是非分析性的,作为其他参数的输入,它们需要各种表面参数, 它们的值通常取自小变形、准平衡界面测量。 然而,测量表面张力和膨胀模量的条件可能与泡沫-气泡-空气/水界面处的条件显着不同,因为歧化引起的收缩/膨胀是一个相对缓慢、非平衡的大变形过程。 然而,有许多实验研究,系统遵循该标准,其中泡沫不稳定,不利于歧化。6–12主要原因是吉布斯标准对系统的有效性有限,其中:(i)界面对表面变形表现出纯弹性响应;(ii)空气/水(a/w)界面的压差符合拉普拉斯定律;(iii)忽略了体积流变学贡献;(iv)气泡几乎是单分散的,(v)可以认为泡沫是无限的,因此可以忽略壁面效应。5–9许多这些限制在一系列新模型中得到了解决。8–13然而,这些改进的标准是非分析性的,作为其他参数的输入,它们需要各种表面参数,例如吉布斯弹性、表面张力等。它们的值通常取自小变形、准平衡界面测量。然而,测量表面张力和膨胀模量的条件可能与泡沫-气泡-空气/水界面处的条件显著不同,因为歧化引起的收缩/膨胀是一个相对缓慢、非平衡的大变形过程。
在真正的泡沫中,歧化作用于其他泡沫失稳过程,如排水和聚结,这些过程通常更快或最好是在相同的时间范围内。 避免此问题的一种方法是测量表面以下单个气泡的收缩率。13然而,缺点是排除了集体效应和气泡尺寸效应。
为了消除上述一些因素并更好地了解主要影响因素,我们决定(1)研究实际泡沫中歧化的影响; (2) 排水和聚结的解耦效应; (3) 研究具有更宽稳定性范围的泡沫和(4)测量空气/水界面上单个(吸附或扩散)单层的小变形和大变形膨胀表面流变性,并尝试将其与实验泡沫歧化数据关联。
表面活性材料的选择
从实用的角度来看,寻找表面活性材料是一项具有挑战性的任务,这些材料(i)能够快速吸附在界面上,提供良好的起泡性和稳定性,防止早期气泡聚结,以及(ii) 可被强烈压缩,不会发生层坍塌或从界面解吸,以提供足够的稳定性,防止歧化。 因此,近年来,一系列新型且有前途的(天然)乳化剂引起了人们的关注。 这些包括frog14和疏水蛋白15、肺表面活性剂、16种天然乳化剂(如皂甙17)以及使用各种食品级18、19和非食品级材料制成的颗粒。20
在本文中,我们将重点研究两种分子稳定剂,即HFBII疏水蛋白和Quillaja皂甙的起泡行为,并将其与更为知名的乳蛋白(如b-乳球蛋白和b-酪蛋白)进行比较。 我们研究了泡沫抗歧化的稳定性,并将其与非平衡、大变形、表面膨胀流变学和表面剪切流变学联系起来。 所选材料的范围代表了各种各样的粗化时间,因此适合与歧化稳定性进行比较。 因此,我们将不讨论抗聚结的起泡性和稳定性以及它们与吸附动力学的关系。
狂犬病
疏水蛋白是丝状真菌产生的一类具有高度表面活性的蛋白质。 它们的生物学功能是介导(气生)菌丝、孢子和子实体的形成,在此过程中,亲水和疏水环境(即细胞材料和空气)之间形成一个大界面。21
疏水蛋白由100±25个氨基酸组成,具有8个半胱氨酸残基的特征模式,形成4个分子内二硫键,15使蛋白质分子非常紧密和刚性。 疏水蛋白的三级结构显示出明显的疏水区和亲水区。22–24根据其水溶性和亲水模式,疏水蛋白可分为两类。23 I类疏水蛋白相对不溶于水,而II类疏水蛋白表现出良好的水溶性。
对于II类疏水蛋白,HFBII是小分子量(7.2 kDa)和4个二硫键的独特组合,可防止疏水部分重排到蛋白质核心,并使其暴露于周围介质中。 因此,在水环境中,HFBII表现为天然Janus粒子,23具有不同的亲水性和疏水性表面补丁,从而导致不同的两亲性行为。 最近,Cox等人对HFBII的表面性质进行了研究,25并用于解释简单气泡团中极低的空气溶解速率。 在后续工作中,Cox等人26证明HFBII可用于生产液体泡沫,这些泡沫不会变粗,并且在几个月内保持稳定。 这种泡沫的特殊稳定性与其他蛋白质稳定的泡沫的低稳定性形成鲜明对比。
皂甙
皂甙是一类天然表面活性化合物,大量存在于植物物种中,具有独特的亲水性糖苷(乙二醇)部分和疏水性(苷元)部分。27疏水性部分通常为甾体或萜类。 Quillaja皂甙是三萜苷,从磨碎的内树皮或修剪过的茎和树枝的木材中提取得到。 除乳化性能外,它们还表现出优异的发泡性能,但目前尚未对其进行系统的研究和探索。
探索泡沫粗化与表面流变学之间的关联性疏水性蛋白——摘要、介绍
探索泡沫粗化与表面流变学之间的关联性疏水性蛋白——材料和方法
探索泡沫粗化与表面流变学之间的关联性疏水性蛋白——结果和讨论
探索泡沫粗化与表面流变学之间的关联性疏水性蛋白——结论、致谢!
