合作客户/
拜耳公司 |
同济大学 |
联合大学 |
美国保洁 |
美国强生 |
瑞士罗氏 |
相关新闻Info
-
> 不同助剂及浓度对IDK120-025型和LU120-015型喷头雾化效果的影响(三)
> NaOL、HZ组合捕收剂对锂辉石矿物浮选效果、表面张力影响(二)
> 双子型起泡剂ULT-1的分子结构式、表面张力、抗温/抗盐性能及煤样润湿性变化——结果与讨论、结论
> 全自动表面18luck国际无法启动、读数不稳定等常见故障及解决方法
> 镀锡板与涂料的表面张力不匹配导致印铁缩孔,怎么解决?
> 不同温度下水波波速和表面张力系数的关系与计算方法【实验】(一)
> 便携式表面18luck国际和气泡压力法表面张力计介绍
> 硝磺草酮悬浮剂制剂不同稀释倍数的动态表面张力测定结果
> GA、WPI和T80复合乳液体系的脂肪消化动力学曲线、界面张力变化(二)
> 结合药液表面张力与苹果树冠层参数预测喷雾药液用量的方法及应用
推荐新闻Info
-
> 耐擦刮无胶消光膜制备方法、高表面张力与收解卷顺畅性的平衡(二)
> 耐擦刮无胶消光膜制备方法、高表面张力与收解卷顺畅性的平衡(一)
> 利用超微量天平制备微孔淀粉处理含Cu(II)离子染料废水
> 不同类型的碱、pH值对孤东油田原油界面张力的影响(下)
> 不同类型的碱、pH值对孤东油田原油界面张力的影响(上)
> 不同结晶结构的脂肪晶体颗粒界面自组装行为、储藏稳定性研究
> 新型POSS基杂化泡沫稳定剂表面张力测定及对泡沫压缩性能的影响(三)
> 新型POSS基杂化泡沫稳定剂表面张力测定及对泡沫压缩性能的影响(二)
> 新型POSS基杂化泡沫稳定剂表面张力测定及对泡沫压缩性能的影响(一)
> 多功能膜材研发:界面张力已成为整套工艺链协同下动态演化的核心控制点
不同浓度的过氧化氢模拟氧化对猪皮明胶乳化性能、界面张力、Zeta电位的影响(二)
来源:肉类研究 浏览 150 次 发布时间:2025-08-07
1.3.2 乳化性能测定
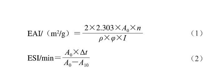
将1.3.1节制备的明胶溶液稀释至5 mg/mL,然后将8 mL明胶溶液与2 mL玉米油混合,使用均质器在14 000 r/min条件下将混合物均质化,在均质0 min和10 min后分别从试管底部取新鲜制备的乳液(30 μL),并与0.1 g/100 mL十二烷基硫酸钠溶液(3 mL)混合。随后,在500 nm波长处测定混合溶液的吸光度。乳化活性指数(emulsifying activity index,EAI)和乳化稳定性指数(emulsifying stability index,ESI)分别按式(1)、(2)计算:
式中:A0为均质0 min乳液制得混合溶液在500 nm处的吸光度;n为乳液稀释倍数;ρ为明胶质量浓度/(mg/mL);φ为乳液中玉米油的体积分数(0.2);I为比色皿厚度(0.01 m);A10为均质10 min乳液制得混合溶液在500 nm处的吸光度;Δt为时间间隔(10 min)。
1.3.3 水接触角测定
在室温下,将1.3.1节制备的明胶溶液150 μL均匀涂抹在显微镜载玻片上,放置1 h后形成明胶膜。随后,用内径为1.823 mm的注射器针吸附一定体积的去离子水,然后将注射器固定,在明胶膜表面加入1 滴去离子水。明胶膜表面的水接触角采用液滴形状分析仪的无柄液滴法测量。用微量注射器将超纯水(5 μL)滴入明胶膜表面,立即记录侧视图并计算水接触角。
1.3.4 明胶吸附率测定
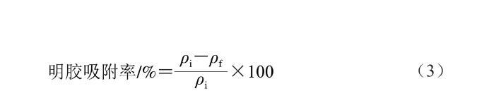
参考Tian Yan等的方法,并稍作改动。将1.3.2节新鲜制备的乳液在20 ℃下以12 000 r/min离心30 min后,将油滴和吸附在油滴上的蛋白质从水相中分离出来。随后,用注射器抽取离心管底部的溶液,并用0.22 μm滤膜过滤。明胶吸附率按式(3)计算:
式中:ρi为乳液中明胶初始质量浓度/(mg/mL);ρf为乳液滤液中明胶质量浓度/(mg/mL)。
1.3.5 界面张力测定
使用新利18澳门 dIFT双通道动态界面18luck国际测定明胶样品的界面张力。 使用内径为1.823 mm的注射器针头吸附一定体积的明胶溶液,然后将注射器针头插入含有玉米油的透明石英比色皿中,通过仪器内置的电动注射装置精确注入明胶溶液,在针尖形成稳定的悬滴。随后,通过该仪器配套的液滴形状分析软件精确确定明胶溶液与玉米油之间的界面张力。
1.3.6 Zeta电位测定
从试管底部取新鲜制备的乳液30 μL,并与3 mL去离子水混合。乳液的Zeta电位由激光粒度分析仪测定。每个样品重复测定6 次。
1.3.7 乳液微观结构观察
将1 mL新鲜制备的乳液与40 μL荧光染料(0.11 g/L尼罗红和10 g/L尼罗蓝)混合,玉米油和明胶分别用尼罗红和尼罗蓝来标记。将混合物涡旋约30 s,并在黑暗条件下孵育5 min。荧光染料的溶剂为98% 1,2-丙二醇溶液。使用带有63×油物镜的CLSM观察样品。乳液样品分别在480 nm和633 nm处被激发,在600~660 nm(尼罗红)和660~700 nm(尼罗蓝)处被检测到。CLSM的扫描频率为100 Hz,扫描密度为1 024×1 024。玉米油和明胶的CLSM图像分别以绿色和红色呈现。
1.4 数据处理与分析
所有实验数据的统计分析均使用SPSS Statistics 17.0(SPSS Inc.,Chicago,IL,USA)进行,并且结果均以平均值±标准差表示。对数据进行单因素方差分析,采用最小显著性差异检验分析数据间的差异性,显著性水平为P<0.05。
2 结果与分析
2.1 氧化对明胶乳化性能的影响
明胶的EAI反映蛋白质快速迁移到油-水界面并形成小液滴的能力。如图1A所示,随着过氧化氢浓度的增加,明胶的EAI增加,从未氧化组的21.1 m2/g增加到30 mmol/L过氧化氢组的34.3 m2/g,增加50%左右。有研究表明,肌原纤维蛋白被氧化后,其EAI也会提高。这与本研究中氧化明胶EAI的结果一致。氧化肌原纤维蛋白EAI的提高与氧化诱导蛋白质中更多的疏水基团暴露有关,蛋白质中疏水基团的暴露增强了蛋白质与油滴的相互作用,从而表现出更好的EAI。据报道,米糠酸败诱导米糠蛋白质发生适当氧化后,氧化修饰促进了蛋白质的部分展开,也增加了蛋白质中疏水基团的暴露,从而提高米糠蛋白的EAI。一些研究还发现转谷氨酰胺酶修饰明胶后,转谷氨酰胺酶中ε-(γ-谷氨酰基)-赖氨酸异肽键的插入和ε-氨基的缺失可能会增加明胶的表面疏水性,从而提高明胶的乳化性能。
图1 不同过氧化氢浓度下明胶的EAI(A)和ESI(B)
明胶的ESI可以反映蛋白质吸附到油-水界面后稳定油滴的能力。如图1B所示,随着过氧化氢浓度的增加,明胶的ESI下降,未氧化组的ESI为18.7 min,30 mmol/L过氧化氢组为14.1 min,下降4.6 min。Tian Yang等探究丙二醛的氧化修饰对蛋黄高密度脂蛋白的结构和乳化性能的影响,发现丙二醛会与蛋白质发生席夫碱反应后聚集并形成氧化聚集体,降低蛋白质分子的柔韧性和乳液界面的稳定性,最终导致蛋白质乳化能力下降。这与本研究中氧化明胶乳化稳定性的结果一致。Liu Huihua等研究不同pH值条件对明胶乳化性能的影响,认为油-水界面层明胶分子之间相互排斥作用随着pH值的增加而降低,油滴之间相互排斥作用的减少有利于它们的聚集,从而表现出较弱的乳化稳定性。
2.2 氧化对明胶水接触角的影响
水接触角可以反映明胶的表面两亲性。如图2所示,随着过氧化氢浓度的增加,明胶水接触角增加,从未氧化组的117°增加到30 mmol/L过氧化氢组的121°。水接触角的增加可能归因于蛋白质疏水性的增强。Feng Xin等支持这一观点,并表示利用喷雾干燥技术提取明胶后,明胶疏水性的增加提高了水接触角。这可能归因于喷雾干燥技术可以暴露出明胶中更多的疏水基团,从而表现出更好的疏水性能并改善明胶的两亲性,并且更有利于改善明胶的界面性能和乳化性能。Wang Jin等将明胶和儿茶素混合制备纳米颗粒,发现蛋白质-多酚纳米颗粒的自组装过程中,明胶的疏水基团暴露于水相,因此蛋白质-多酚纳米颗粒表现出更高的疏水性能,从而牢固吸附在油-水界面上,提高乳液的稳定性。
图2 不同过氧化氢浓度下明胶的水接触角
