合作客户/
拜耳公司 |
同济大学 |
联合大学 |
美国保洁 |
美国强生 |
瑞士罗氏 |
相关新闻Info
-
> 接触角迟滞时气~液界面张力的温度敏感性对液滴蒸发过程的影响——引言
> 表面活性剂是否对斥水性土壤的润湿性有影响?——结果和讨论
> 探讨一级相变过程中气泡和液滴临界半径的变化规律、与演化方向(一)
> 表面张力对龙泉青瓷梅子青釉熔体表面形状、烧成制品外观质量的影响(一)
> 不同质量分数的EMI溶液的表面张力测定【实验下】
> pH对马来松香MPA与纳米Al2O3颗粒形成的Pickering乳液类型、表/界面张力影响(三)
> Kibron表面18luck国际研究烧结矿聚结行为
> 表面18luck国际分析气润湿反转剂对缓解煤层水锁效应、解吸速率影响(二)
> 混合型生物洗油菌发酵上清液的表面张力值测定(三)
> 基于微纳米二氧化硅粒子薄膜制备超疏水涤纶织物
推荐新闻Info
-
> 耐擦刮无胶消光膜制备方法、高表面张力与收解卷顺畅性的平衡(二)
> 耐擦刮无胶消光膜制备方法、高表面张力与收解卷顺畅性的平衡(一)
> 利用超微量天平制备微孔淀粉处理含Cu(II)离子染料废水
> 不同类型的碱、pH值对孤东油田原油界面张力的影响(下)
> 不同类型的碱、pH值对孤东油田原油界面张力的影响(上)
> 不同结晶结构的脂肪晶体颗粒界面自组装行为、储藏稳定性研究
> 新型POSS基杂化泡沫稳定剂表面张力测定及对泡沫压缩性能的影响(三)
> 新型POSS基杂化泡沫稳定剂表面张力测定及对泡沫压缩性能的影响(二)
> 新型POSS基杂化泡沫稳定剂表面张力测定及对泡沫压缩性能的影响(一)
> 多功能膜材研发:界面张力已成为整套工艺链协同下动态演化的核心控制点
测量液体表面张力悬滴法介绍
来源:coco5517 浏览 1372 次 发布时间:2022-10-08
悬滴法
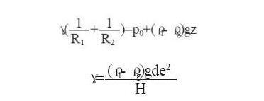
悬滴法是根据在水平面上自然形成的液滴形状计算表面张力。在一定平面上,液滴形状与液体表面张力和密度有直接关系。由Laplace公式,描述在任意的一点P曲面内外压差为:
式中R1,R2为液滴的主曲率半径;z为以液滴顶点O为原点,液滴表面上P的垂直坐标;P0为顶点O处的静压力。
定义:S=ds/de
式中de为悬滴的最大直径,ds为离顶点距离为de处悬滴截面的直径
式中b为液滴顶点O处的曲率半径。此式最早是由Andreas,Hauser和Tucker[15]提出,若相对应与悬滴的S值得到的1/H为已知,即可求出表(界)面张力。应用Bashforth-Adams法,即可算出作为S的函数的1/H值。因为可采用定期摄影或测量ds/de数值随时间的变化,悬滴法可方便地用于测定表(界)面张力。
