合作客户/
拜耳公司 |
同济大学 |
联合大学 |
美国保洁 |
美国强生 |
瑞士罗氏 |
相关新闻Info
-
> 制备润眼液,为什么要进行表面张力测定?
> 单片机智能控制的液体表面张力测量仪设计
> 为何矿泉水中的表面张力会比纯净水更大?
> 不同结晶结构的脂肪晶体颗粒界面自组装行为、储藏稳定性研究
> 阳-非离子复合表面活性剂体系表面张力测定及基础性能评价(三)
> 矿井瓦斯防治:表面活性剂溶液表面张力、泡沫特性及对甲烷缓释效应(三)
> 基于超微量天平对沉积质量的精确测量,制备纳尺度的铜薄膜
> 香兰素基聚氧乙烯醚动态表面张力测定及在气/液界面的吸附行为研究(二)
> 不动杆菌菌株XH-2产生物表面活性剂发酵条件、性质、成分研究(二)
> 基于表面张力测定探究油酸乙酯对油酸钠浮选石英的促进作用机理
推荐新闻Info
-
> 耐擦刮无胶消光膜制备方法、高表面张力与收解卷顺畅性的平衡(二)
> 耐擦刮无胶消光膜制备方法、高表面张力与收解卷顺畅性的平衡(一)
> 利用超微量天平制备微孔淀粉处理含Cu(II)离子染料废水
> 不同类型的碱、pH值对孤东油田原油界面张力的影响(下)
> 不同类型的碱、pH值对孤东油田原油界面张力的影响(上)
> 不同结晶结构的脂肪晶体颗粒界面自组装行为、储藏稳定性研究
> 新型POSS基杂化泡沫稳定剂表面张力测定及对泡沫压缩性能的影响(三)
> 新型POSS基杂化泡沫稳定剂表面张力测定及对泡沫压缩性能的影响(二)
> 新型POSS基杂化泡沫稳定剂表面张力测定及对泡沫压缩性能的影响(一)
> 多功能膜材研发:界面张力已成为整套工艺链协同下动态演化的核心控制点
谁的表面张力更大?
来源:李传亮 浏览 1445 次 发布时间:2022-06-20
从前发过一个帖子“好大的泡泡“,帖了两张吹的比人还大的肥皂泡泡供大家娱乐消遣,并说了大泡泡的表面张力也会很大的意思。
有网友提出了不同看法,说大泡泡的表面张力不是很大,应该很小,表面张力小才容易起泡,增加表面积做功才最少。
他们的说法似乎也有道理,一个泡泡图片引发了大家的思考,是一件很好的事情。
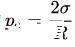
我是这样分析泡泡的受力情况的,图中的泡泡不是人吹的,而是风吹的,泡泡的内外都是空气,但里面的压力肯定比外面的压力高,二者的差值为泡泡的附加压力,也就是人们常说的毛管压力。由于风是固定的,因此附加压力的数值也是一样的。在相同的附加压力下,是大泡泡的表面张力大,还是小泡泡的表面张力大呢?
由于附加压力
,曲率半径越大,表面张力[公式]也就越大,因此,只有表面张力较大的液体才能吹成更大的泡泡。若表面张力较小,还没等吹大就破了。表面张力与固体材料的应力强度极为相似,都是破裂时的力学性质。
我没有深入研究过表面化学,一时也找不到更好的解释,请大家讨论一下吧,看谁能给出更好的答案,期待中。。。
