合作客户/
拜耳公司 |
同济大学 |
联合大学 |
美国保洁 |
美国强生 |
瑞士罗氏 |
相关新闻Info
-
> 制备润眼液,为什么要进行表面张力测定?
> 单片机智能控制的液体表面张力测量仪设计
> 为何矿泉水中的表面张力会比纯净水更大?
> 不同结晶结构的脂肪晶体颗粒界面自组装行为、储藏稳定性研究
> 阳-非离子复合表面活性剂体系表面张力测定及基础性能评价(三)
> 矿井瓦斯防治:表面活性剂溶液表面张力、泡沫特性及对甲烷缓释效应(三)
> 基于超微量天平对沉积质量的精确测量,制备纳尺度的铜薄膜
> 香兰素基聚氧乙烯醚动态表面张力测定及在气/液界面的吸附行为研究(二)
> 不动杆菌菌株XH-2产生物表面活性剂发酵条件、性质、成分研究(二)
> 基于表面张力测定探究油酸乙酯对油酸钠浮选石英的促进作用机理
推荐新闻Info
-
> 耐擦刮无胶消光膜制备方法、高表面张力与收解卷顺畅性的平衡(二)
> 耐擦刮无胶消光膜制备方法、高表面张力与收解卷顺畅性的平衡(一)
> 利用超微量天平制备微孔淀粉处理含Cu(II)离子染料废水
> 不同类型的碱、pH值对孤东油田原油界面张力的影响(下)
> 不同类型的碱、pH值对孤东油田原油界面张力的影响(上)
> 不同结晶结构的脂肪晶体颗粒界面自组装行为、储藏稳定性研究
> 新型POSS基杂化泡沫稳定剂表面张力测定及对泡沫压缩性能的影响(三)
> 新型POSS基杂化泡沫稳定剂表面张力测定及对泡沫压缩性能的影响(二)
> 新型POSS基杂化泡沫稳定剂表面张力测定及对泡沫压缩性能的影响(一)
> 多功能膜材研发:界面张力已成为整套工艺链协同下动态演化的核心控制点
微凝胶颗粒在气液界面处吸附动力学及动态方程研究——结果和讨论、结论、致谢!
来源:上海谓载 浏览 2485 次 发布时间:2021-12-23
4、结果和讨论
压力-面积等温线是通过在Langmuir槽上对扩散单分子膜进行3组不同实验得到的。这些等温线中的面积坐标根据吸附在界面上的颗粒数量进行缩放。如图1所示,所有曲线都折叠到一个图上。在增加压缩时,压力最初略有变化,但低于2 mm2/颗粒时,压力急剧增加。曲线的斜率首先增加,但在约27 mN m-1处达到最大值,在此有一个拐点,然后是一个稍弱的斜率。如图1中的虚线所示,对应于该拐点的每粒子面积(Ac)值为0.545 mm2。假设粒子紧密堆积,这对应于~835 nm的粒子间距离,远大于在本体溶液中测量的粒子流体动力学直径(590 nm),表明粒子确实发生了实质性变形。如图1的插图所示,0.5 mN m-1级的有限表面压力(即远高于我们的检测极限0.1 mN m-1)实际上已经可以在约4 mm2的每粒子面积上测量。插图还表明,在两个不同的朗缪尔槽上进行的不同实验之间,P的绝对值在0.3 mN m-1范围内可重复。

图1 PNIPAM颗粒在空气-水界面处的压力面积等温线。开放符号表示与三组不同实验相对应的实验数据点,即:(,)具有高初始颗粒负荷的NIMA槽,(B)具有低初始颗粒负荷的NIMA槽和(D)具有高初始颗粒负荷的Kibron m槽。插图显示了低负荷下压力-面积曲线的展开视图。插图中的虚线表示压力传感器的检测极限。
在图2中,我们给出了与图1相同的数据,但使用G=1/(a*NAv)将其转换为压力与吸附量曲线,其中a是图1中的每粒子面积,NAv是阿伏伽德罗数。该曲线表示当前系统的二维状态方程(EOS)。在相对较低的密度(<5*10-13 mol m-2)下,压力极低(≈1 mN m-1),但可很好地检测到。因此,即使在粒子间距离远大于溶液中粒子大小的低密度下,粒子仍会以某种方式相互作用。由于粒子几乎没有任何电泳迁移率,22,23静电排斥不太可能是原因。唯一的其他选项是“粒子-粒子接触”。因此,粒子在吸附到界面上时一定会发生强烈变形,这与其他作者的发现在质量上是一致的。2,3,7,8,15,24我们可以使用ansatz粗略估计变形的程度∆R≈∆γ/ξ.使用ξ的典型值≈文献25,26中的50 kPa以及∆γ=70mnm-1,我们发现∆r=1.7μm,这与紧密堆积和完全变形颗粒之间约3μm的距离一致。我们的分析基于这样一个假设,即我们在界面上传播的粒子不会解吸。但即使我们考虑了颗粒的解吸,这也只意味着检测到的有限压力实际上对应于更低的表面浓度。图3示出了界面处颗粒变形机制的示意性解释。应该注意的是,在LB实验中,颗粒分布在界面上,我们没有任何颗粒。在界面张力测量的情况下,颗粒从本体扩散到界面。

图2表面压力(P)与空气-水界面上PNIPAM颗粒吸附量(G)的关系。开放符号表示与三组不同实验相对应的实验数据点,即:(,)具有高初始颗粒负荷的NIMA槽,(B)具有低初始颗粒负荷的NIMA槽和(D)具有高初始颗粒负荷的Kibron m槽。红色实线表示使用Groot和Stoyanov模型进行的预测。
图3极低负载条件下吸附到界面时微凝胶颗粒变形的示意图。
吸附在流体-流体界面上的颗粒相互作用并产生表面压力(P),这是3D系统中压力的2D模拟。通过进一步扩展这种类比,还可以通过状态方程将表面压力与其他状态参数(如数密度和温度)联系起来。对于吸附在流体-流体界面上的胶体粒子,最简单的近似可能是2D硬盘。单组分系统的状态方程(EOS)是根据压缩因子Z的密度依赖性给出的。文献中充满了多种方法来提供2D硬盘流体状态方程的表达式。Mulero等人27,28简要回顾和比较了所有这些状态方程。
我们发现,在非常低的密度下,测量的表面压力至少比假设在这些密度下无相互作用粒子的理想气体的表面压力预测高5–6个数量级。格鲁特和StayaNoV13没有明确地考虑由于表面张力引起的这些颗粒的变形。他们简单地假设压力主要取决于胶体颗粒内聚合物的微观结构和组成,并引入一个新的长度标度deff,该长度标度deff旨在反映颗粒微观结构,并将压力放大至实验值。然而,意识到颗粒在很大程度上扩散,我们也可以看到测量的压力反映了颗粒的内部弹性。由于这是由交联的2D密度给出的,因此我们发现微观长度也就不足为奇了。
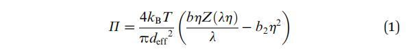
Groot和Stoyanov提出了一个表面压力(P)表达式,该表达式考虑了粒子内这些较小相关区域的大小,如下所示:
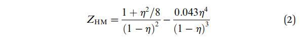
其中,deff是粒子内相关畴的大小。压缩系数(Z)可以用文献中的任何状态方程表示。在我们的案例中,我们使用修改后的亨德森方程29:

式中,η是表面堆积分数,它可以用颗粒数密度(p)和单个颗粒的体积直径(d)表示为η=(π/4)pd2。对于我们的实验,η介于0和0.91之间。ZHM的相应值介于1和96之间。
我们将Groot和Stoyanov给出的标度关系拟合到图2中的数据(红色曲线)。该配件将deff=1.25 nm作为特征长度标度。为了提供物理图像,可将该deff视为微凝胶颗粒内交联点之间的平均距离。这与先前的研究30、31一致,该研究报告的网目尺寸范围为1–10 nm。模型中使用的参数b和l表示由于圆盘的弹性性质而产生的排斥相互作用。对于我们的系统,b和l的值可以看作是统一的。13参数b2表示短程吸引相互作用。我们通过将参数b2作为拟合参数来检查短程吸引相互作用的影响,但分析得出的b2值非常小(~1*10-4)。因此我们得出结论,我们有纯排斥粒子。高荷载下实际数据与模型的偏差可能是因为在高压缩下,表面不再保持平坦,而是发生平面外变形,即屈曲。此外,这些颗粒的周围有许多松散的、未交联的聚合物链段。在高压缩条件下,这些岩段离开界面而不是相互渗透是有利的。这种部分解吸也可能导致与硬盘模型预测的偏差。
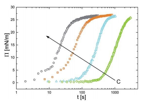
在建立了一个状态方程来关联表面压力和吸附量之后,我们现在开始研究粒子的吸附动力学。为此,我们监测了PNIPAM颗粒悬浮液中新制备气泡的界面张力随时间的变化。我们将界面张力值转换为表面压力。结果如图4所示。表面压力值最初迅速增加,然后放松到最终平衡值。动力学可以清楚地分为两个独立的时间尺度:一个是表面压力值增加表示的初始快速动力学,另一个是系统向最终平衡状态松弛时的缓慢部分。短时间快速动力学和长时间慢得多动力学之间的区别是许多表面活性材料吸附行为的特征。32,33
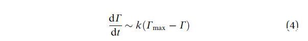
在短时间尺度上,P的增加受到颗粒从块体到界面的传输的限制。我们期望粒子的扩散能控制粒子的输运。由于我们的粒子相当大,这些粒子的吸附能比kBT高3-4个数量级。因此,可以安全地假设粒子一旦被吸附就不会离开界面。在这些条件下,Ward和Tordai模型34给出:
式中,G为吸附摩尔质量,C为体积浓度,D为颗粒扩散系数。
使用图2中获得的实验P vs.G曲线,我们将P(t)数据转换为G(t)数据,然后绘制G vs.Ct1/2,如图5所示。我们用注意力来衡量时间轴,期望曲线坍缩成一条曲线。我们观察到的是,G的初始生长很好地遵循t 1/2依赖性。随后,随着系统接近饱和,长时间内G的弛豫随浓度而减慢。图5中的插图显示了不同颗粒体积浓度的单个G与t1/2曲线。实线是直线拟合到实验数据的初始部分(开放符号)。每条曲线的初始斜率产生一个扩散系数D值。为了进行比较,绘制了虚线,其中斜率是使用动态光散射(DLS)获得的D计算得出的(DDLS=7.29*10-13 m2 s-1)。可以看出,它们与实验曲线的偏差不大。或者,我们可以根据数据的最佳拟合来确定D。表1给出了通过将直线(实线)与不同体积浓度的实验结果拟合得到的D值,并将其与从DLS获得的值进行比较。由此获得的值与DLS测量值的偏差不超过10%。
表1根据实验G与t1/2曲线计算的不同浓度的扩散系数D(m2 s-1)值与使用DLS测量的值相比
图5吸附量(G)作为产品Ct1/2的函数。插图显示了不同体积浓度的微凝胶颗粒的G与t1/2的单独曲线:(>)0.10 G l-1,(D)0.20 G l-1,(,)0.50 G l-1,(B)1.00 G l-1。实线是直线拟合,虚线是使用D=DDL计算的坡度绘制的。
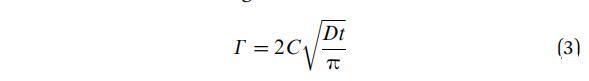
当系统接近饱和时,G(t)的下降速度必须随着表面变得拥挤而减慢。吸附质浓度刚好低于表面,然后与吸附物种失去平衡,动力学受到吸附屏障的限制。一级动力学过程会导致:
式中,k是与吸附屏障相关的速率常数。理想情况下,k应与界面下方的局部溶质浓度成比例。这会导致指数松弛:
图6表明,这种势垒控制机制确实长期存在。开放符号是ln(1-Γ/Γmax)的实验值。在很长的时间内,曲线拟合一条由实线表示的直线。实线的斜率可以确定为1/k的动力学弛豫时间的倒数。
图6 ln(1-G/Gm)作为不同体积浓度微凝胶颗粒的时间函数:(>)0.10 G l-1,(D)0.20 G l-1,(,)0.50 G l-1,(B)1.00 G l-1。实线是直线拟合。
如表2所示,速率常数取决于微凝胶颗粒的体积浓度。但这种依赖性不是线性的。这可能表明吸附过程本身相当复杂,取决于界面上粒子的配置细节。对这些方面的深入分析超出了本工作的范围。
表2根据图6中的实验曲线计算的各种浓度的速率常数k(1/s)值

5、结论
PNIPAM微凝胶由于其聚合物性质,易于吸附到空气-水界面。我们已经在实验上为吸附在空气-水界面上的这种软微凝胶颗粒建立了二维状态方程。压力-面积等温线给出了一个可测量的压力,即使在平均粒间距离远大于其流体动力学直径的情况下。这证实了粒子在界面处基本变形的事实。使用一个简单的标度参数,我们表明,在非常低的载荷下,粒子的变形与粒子间距离的顺序相同,从而产生非常小但可测量的压力。低负荷下的压力间接探测颗粒的内部弹性,这与内部交联密度有关。EOS的实验观测符合Groot和Stoyanov提出的标度关系。由此标度关系产生的长度标度deff=1.25 nm可视为交联之间的有效距离。在非常高的载荷下,与标度关系的偏差可归因于界面层的屈曲或由于压缩导致的周边聚合物链段的部分解吸。
利用实验状态方程,我们研究了这些微凝胶颗粒在空气-水界面上的吸附动力学。我们发现,吸附过程可以清楚地分为两个阶段。在短时间内,吸附过程由颗粒从块体向界面扩散控制。在很长一段时间内,界面被粒子填满,从而为新粒子吸附到界面上创造了屏障。这导致G的指数松弛。
致谢
我们要感谢Vinod Subramaniam教授让我们使用Kibron m槽,以及Aditya Iyer先生在Kibron m槽实验中的帮助。我们也感谢∆p Arun Banpurkar感谢他的想法和讨论。这项工作得到了基础研究的物质基础(FOM)的支持,该基金得到荷兰科学研究组织(NWO)的资助。
