拜耳公司 |
同济大学 |
联合大学 |
美国保洁 |
美国强生 |
瑞士罗氏 |
影响表面张力的因素有那些?
来源:本站原创 浏览 1955 次 发布时间:2019-08-02
影响表面张力的因素有物质的本性、温度和压力,除此之外,一种物质中加入另一种物质,或由多种物质所形成的溶液对液体的表面张力也有影响。

1.物质的本性
不同的物质具有不同的表面张力,主要是不同物质分子间的作用力不同。对非极性有机液体(如前述的用于油墨连结料的植物油等),分子间的相互作用主要是色散力,表面张力一般较小,如正己烷在20℃下,γ=1.84×10-2 N/m;对有氢键作用力存在的液体,表面张力较大,如水在20℃下,γ=7.27×10-2 N/m;对有金属键存在的液体,表面张力值更大,如汞在20℃下,γ=48.65×10-2 N/m;现已知的表面张力最低的液态He,在1K下,γ=3.65×10-4N/m;表面张力最大的是液态Fe,在其熔点1550℃下,γ=1.88N/m。
2.温度的影响
液体表面张力受温度影响较大,一般温度升高,液体的表面张力下降,即表面张力的温度系数dγ/dT为负值,也有温度系数为正值的,如液态Cu、液态Zn等。
大多数液体的表面张力随温度升高呈直线下降,但在临界温度以前(距临界温度30K以内)有明显偏差。一般线性关系最简单的形式为:
γ=γ0(1+bT)(1-10)
式中,T为热力学温度,b为温度系数。此外,还有经验关系式
(1-11)
式中,Tc为液体物质的临界温度,n为经验常数,有机液体n的平均值为1.21。当温度为Te时,表面张力趋于零。表1-2为水在不同温度下的表面张力。
表1-2水在不同温度下的表面张力

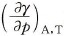
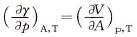
3.压力的影响
由热力学基本关系式dG=-SdT+Vdp+γdA可知,在温度T一定时,根据全微分的性质,有
(1-12)
由于表面层物质的密度低于液体相密度,所以一般dV为正值,则
亦为正值,即表面张力随压力的增加而增加。但实际情况则相反,表现为随压力的增加而减小。通常,液体的表面张力是指该液体与含有该液体的蒸气的空气相接触时的值,因为在一定温度下液体的蒸气压是定值,因此,只能通过改变气相中空气的压力或通人惰性气体改变气相的压力。气相压力增加,气相中物质在液体中的溶解度增加,并可能产生吸附,导致表面张力下降。压力对表面张力的影响与气体的溶解及吸附对表面张力的影响相比,后者要大得多。因此,液体表面张力一般随气相压力的增加而降低。如水在20℃、0.098MPa压力下表面张力为7.27×10-2 N/m,但压力上升到9.8MPa时,表面张力下降到6.64×10-2 N/m。
新利体育登录入口登录网址是芬兰Kibron在中国的总代理和售后服务中心。产品有:便携式表面18luck国际、高通量18lickc新利 、LB膜分析仪、界面18luck国际、郎缪尔18luck国际、188新利app 等表面化学仪器。高通量表面18luck国际满足了化学工业对高精度、自动化、海量样品筛选的挑战。我们一直注重于产品创新、优化用户体验和提供可靠的服务。
