合作客户/
拜耳公司 |
同济大学 |
联合大学 |
美国保洁 |
美国强生 |
瑞士罗氏 |
相关新闻Info
推荐新闻Info
-
> 耐擦刮无胶消光膜制备方法、高表面张力与收解卷顺畅性的平衡(二)
> 耐擦刮无胶消光膜制备方法、高表面张力与收解卷顺畅性的平衡(一)
> 利用超微量天平制备微孔淀粉处理含Cu(II)离子染料废水
> 不同类型的碱、pH值对孤东油田原油界面张力的影响(下)
> 不同类型的碱、pH值对孤东油田原油界面张力的影响(上)
> 不同结晶结构的脂肪晶体颗粒界面自组装行为、储藏稳定性研究
> 新型POSS基杂化泡沫稳定剂表面张力测定及对泡沫压缩性能的影响(三)
> 新型POSS基杂化泡沫稳定剂表面张力测定及对泡沫压缩性能的影响(二)
> 新型POSS基杂化泡沫稳定剂表面张力测定及对泡沫压缩性能的影响(一)
> 多功能膜材研发:界面张力已成为整套工艺链协同下动态演化的核心控制点
中性聚合物键合剂(NPBA)与奥克托今(HMX)界面张力测定及应用效果(三)
来源:兵工学报 浏览 533 次 发布时间:2025-06-13
2.2 NPBA与HMX界面作用的实验结果
2.2.1 NPBA与HMX的粘附功和界面张力
采用动态接触角测试仪的Wilhelmy吊片法和Modified washburn法,分别测试了合成的3种NPBA和HMX在不同液体中的接触角θ,结果见表3.
表3 NPBA和HMX在不同液体中的接触角
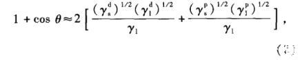
由表3中测试结果,应用Owens-Wendt-Rabel-Kaelble(OWRK)表面张力计算方法,分别拟合得到3种NPBA和HMX的表面张力γ、极性分量γp和非极性分量γd(结果见表4),计算公式如下:
表4 NPBA和HMX的表面张力
由表4中测试结果,计算得到3种NPBA分别与HMX之间的界面张力γAB为
计算得到3种NPBA分别与HMX之间的粘附功WAB.界面张力和粘附功计算结果见表5.
表5 NPBA与HMX之间的界面张力和粘附功
由表5可知,NPBA3与HMX的粘附功最大(113.34 mN/m),且界面张力最小(4.81 mN/m),表明3种NPBA中NPBA3与HMX的浸润性(粘结性)最好,且外力破坏粘接界面需做的功(粘结强度)最大。与NPBA1相比,虽然NPBA2与HMX的粘附功相对较大(分别为75.06 mN/m和78.38 mN/m),但其界面张力相对也大(分别为21.51 mN/m和24.12 mN/m),表明NPBA2与HMX的粘结强度大于NPBA1,但浸润性略弱。
从上述实验结果可知,用—COOCH2CH2OH基团取代—COOCH3基团(用HEA取代MA链节),或增加—CN基团数量(增加AN链节),NPBA更容易吸附于HMX颗粒表面,增强了二者间的粘结性;同时,增加—CN基团数量,或用—COOCH3基团取代—COOCH2CH2OH基团,有利于NPBA在HMX颗粒表面浸润和铺展,增强了二者间的亲和性。
2.2.2 NPBA对推进剂力学性能的影响
分别在-40℃、20℃、50℃温度条件下,采用单向拉伸实验得到了含与不含NPBA推进剂的最大拉伸强度σm和最大伸长率εm,其结果见表6.
由表6可知,加入NPBA后,推进剂的强度得到不同程度的提高,表明3种NPBA均有效吸附于HMX颗粒表面,并与固化剂发生交联反应,从而显著提高了推进剂的强度。3种NPBA中,NPBA3提高推进剂强度的程度最为显著,NPBA2次之,NPBA1再次,与粘附功的大小次序一致。
此外,比较表6中的伸长率数据可知,相对于NPBA1和NPBA3,—OH基团数量最多的NPBA2提高推进剂伸长率的程度最小,原因可能是—OH基团数量过多导致键合剂与粘结剂过度交联,反而对推进剂的伸长率造成不利影响。
表6 NPBA对推进剂力学性能的影响
上述实验结果与2.1节中模拟结果相符,结合能与粘附功之间存在对应关系,即NPBA与HMX的结合能越大其粘结性能越好,增加推进剂强度的效果越好。
3结论
1)HMX与NPBA界面原子间存在近程、远程范德华力和氢键作用力,这些作用力的强弱与—CN基团的数量、—COOCH2CH2OH基团的数量及其空间位阻作用有关。
2)NPBA与HMX的粘附功与结合能之间存在对应关系,即二者间的粘附功越大其结合能越大;用—COOCH2CH2OH基团取代—COOCH3基团,或增加—CN基团数量,整体上增强了NPBA与HMX晶体的界面作用力,使复合体系结合能增加,推进剂强度增大。
3)本文采用的MD模拟方法对于研究NPBA与HMX之间的界面作用具有较高的准确度,可用于指导NPBA分子设计。
